102. Binary Tree Level Order Traversal
Medium
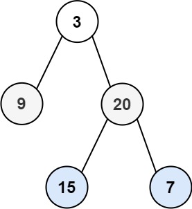
Input: root = [3,9,20,null,null,15,7]
Output: [[3],[9,20],[15,7]]Input: root = [1]
Output: [[1]]Input: root = []
Output: []Previous473. Matchsticks to SquareNext105. Construct Binary Tree from Preorder and Inorder Traversal
Last updated
