637. Average of Levels in Binary Tree
Easy
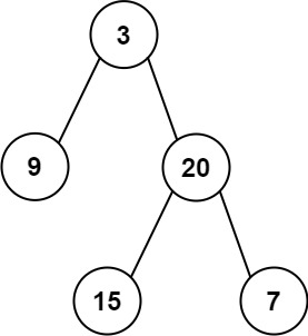
Input: root = [3,9,20,null,null,15,7]
Output:
[3.00000,14.50000,11.00000]
Explanation: The average value of nodes on level 0 is 3, on level 1 is 14.5, and on level 2 is 11.
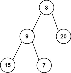
Hence return [3, 14.5, 11].Input: root = [3,9,20,15,7]
Output:
[3.00000,14.50000,11.00000]Last updated

