230. Kth Smallest Element in a BST
Medium
Input: root = [3,1,4,null,2], k = 1
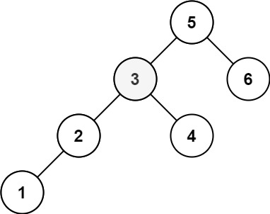
Output: 1Input: root = [5,3,6,2,4,null,null,1], k = 3
Output: 3Previous671. Second Minimum Node In a Binary TreeNext1239. Maximum Length of a Concatenated String with Unique Characters
Last updated

