105. Construct Binary Tree from Preorder and Inorder Traversal
Medium
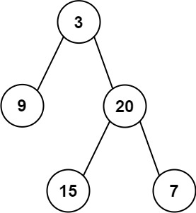
Input: preorder = [3,9,20,15,7], inorder = [9,3,15,20,7]
Output: [3,9,20,null,null,15,7]Input: preorder = [-1], inorder = [-1]
Output: [-1]Previous102. Binary Tree Level Order TraversalNext106. Construct Binary Tree from Inorder and Postorder Traversal
Last updated
