1721. Swapping Nodes in a Linked List
Medium
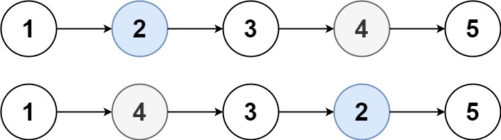
Input: head = [1,2,3,4,5], k = 2
Output: [1,4,3,2,5]Input: head = [7,9,6,6,7,8,3,0,9,5], k = 5
Output: [7,9,6,6,8,7,3,0,9,5]# Definition for singly-linked list.
# class ListNode:
# def __init__(self, val=0, next=None):
# self.val = val
# self.next = next
class Solution:
def swapNodes(self, head: Optional[ListNode], k: int) -> Optional[ListNode]:
# Distance from last and end is same
first = second = head
# Move `first` to kth from start
for index in range(1,k):
first = first.next
temp = first
# Now move from `first` till end and also move second
# Once `first` hits end second will be at kth from end of list since distance is same
while temp.next:
second = second.next
temp = temp.next
first.val, second.val = second.val, first.val
return head
def swapNodesOld(self, head: Optional[ListNode], k: int) -> Optional[ListNode]:
arr = []
while head:
arr.append(head.val)
head = head.next
# (k-1) since it is given as 1-Indexed
arr[k-1], arr[-k] = arr[-k], arr[k-1]
new_head = pointer = None
for num in arr:
temp = ListNode(num)
if new_head is None:
pointer = new_head = temp
else:
pointer.next = temp
pointer = temp
return new_head
Last updated
