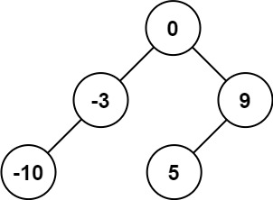
108. Convert Sorted Array to Binary Search Tree
Input: nums = [-10,-3,0,5,9]
Output:
[0,-3,9,-10,null,5]
Explanation:
[0,-10,5,null,-3,null,9] is also accepted:Input: nums = [1,3]
Output:
[3,1]
Explanation:
[1,null,3] and [3,1] are both height-balanced BSTs.Last updated

